02反转链表
反转链表
给你单链表的头节点 head ,请你反转链表,并返回反转后的链表。
示例 1:

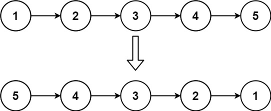
输入:head = [1,2,3,4,5]
输出:[5,4,3,2,1]示例 2:

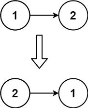
输入:head = [1,2]
输出:[2,1]示例 3:
输入:head = []
输出:[]提示:
- 链表中节点的数目范围是
[0, 5000] -5000 <= Node.val <= 5000
public class ListNode {
int val;
ListNode next;
ListNode() {}
ListNode(int val) { this.val = val; }
ListNode(int val, ListNode next) { this.val = val; this.next = next; }
}public ListNode reverseList(ListNode head) {
ListNode pre = null;
ListNode current = head;
while (current != null) {
ListNode next = current.next;
current.next = pre;
pre = current;
current = next;
}
return pre;
}02反转链表
https://jiajun.xyz/2026/02/07/算法/07链表/02反转链表/