09二叉搜索树中第k小的元素
二叉搜索树中第k小的元素
给定一个二叉搜索树的根节点 root ,和一个整数 k ,请你设计一个算法查找其中第 k 小的元素(k 从 1 开始计数)。
示例 1:

输入:root = [3,1,4,null,2], k = 1
输出:1示例 2:

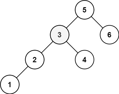
输入:root = [5,3,6,2,4,null,null,1], k = 3
输出:3提示:
- 树中的节点数为
n。 1 <= k <= n <= 1040 <= Node.val <= 104
public class TreeNode {
int val;
TreeNode left;
TreeNode right;
TreeNode() {}
TreeNode(int val) { this.val = val; }
TreeNode(int val, TreeNode left, TreeNode right) {
this.val = val;
this.left = left;
this.right = right;
}
}int visited = 0;
int res = -1;
boolean find = false;
public int kthSmallest(TreeNode node, int k) {
if (node == null || find) {
return res;
}
kthSmallest(node.left, k);
visited++;
if (visited == k) {
res = node.val;
find = true;
}
kthSmallest(node.right, k);
return res;
}public int kthSmallest(TreeNode root, int k) {
Deque<TreeNode> stack = new ArrayDeque<TreeNode>();
while (root != null || !stack.isEmpty()) {
while (root != null) {
stack.push(root);
root = root.left;
}
root = stack.pop();
--k;
if (k == 0) {
break;
}
root = root.right;
}
return root.val;
}09二叉搜索树中第k小的元素
https://jiajun.xyz/2026/02/08/算法/08二叉树/09二叉搜索树中第k小的元素/