04环形链表
环形链表
给你一个链表的头节点 head ,判断链表中是否有环。
如果链表中有某个节点,可以通过连续跟踪 next 指针再次到达,则链表中存在环。 为了表示给定链表中的环,评测系统内部使用整数 pos 来表示链表尾连接到链表中的位置(索引从 0 开始)。注意:pos 不作为参数进行传递 。仅仅是为了标识链表的实际情况。
如果链表中存在环 ,则返回 true 。 否则,返回 false 。
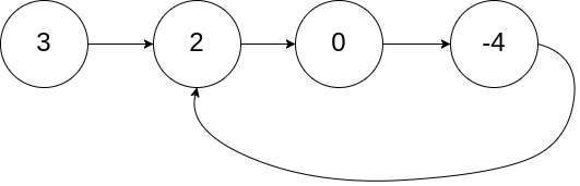
示例 1:

输入:head = [3,2,0,-4], pos = 1
输出:true
解释:链表中有一个环,其尾部连接到第二个节点。示例 2:

输入:head = [1,2], pos = 0
输出:true
解释:链表中有一个环,其尾部连接到第一个节点。示例 3:

输入:head = [1], pos = -1
输出:false
解释:链表中没有环。提示:
- 链表中节点的数目范围是
[0, 104] -105 <= Node.val <= 105pos为-1或者链表中的一个 有效索引 。
class ListNode {
int val;
ListNode next;
ListNode(int x) {
val = x;
next = null;
}
}public boolean hasCycle(ListNode head) {
if(head ==null || head.next == null){
return false;
}
// 将pos -1 作为起点
// 跳一步后 slow = haed fast = head.next
ListNode slow = head;
ListNode fast = head.next;
while (slow!=fast){
if(slow.next==null){
return false;
}
if(fast.next==null || fast.next.next==null){
return false;
}
slow = slow.next;
fast = fast.next.next;
}
return true;
}04环形链表
https://jiajun.xyz/2026/02/07/算法/07链表/04环形链表/