05环形链表2
本文最后更新于 2026-02-07 04:27:36
环形链表2
给定一个链表的头节点 head ,返回链表开始入环的第一个节点。 如果链表无环,则返回 null。
如果链表中有某个节点,可以通过连续跟踪 next 指针再次到达,则链表中存在环。 为了表示给定链表中的环,评测系统内部使用整数 pos 来表示链表尾连接到链表中的位置(索引从 0 开始)。如果 pos 是 -1,则在该链表中没有环。注意:pos 不作为参数进行传递,仅仅是为了标识链表的实际情况。
不允许修改 链表。
示例 1:

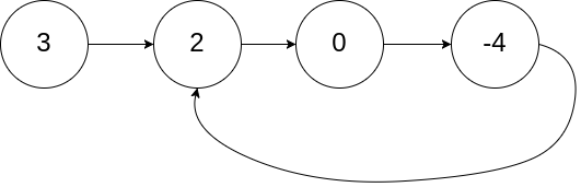
输入:head = [3,2,0,-4], pos = 1
输出:返回索引为 1 的链表节点
解释:链表中有一个环,其尾部连接到第二个节点。示例 2:

输入:head = [1,2], pos = 0
输出:返回索引为 0 的链表节点
解释:链表中有一个环,其尾部连接到第一个节点。示例 3:

输入:head = [1], pos = -1
输出:返回 null
解释:链表中没有环。提示:
- 链表中节点的数目范围在范围
[0, 104]内 -105 <= Node.val <= 105pos的值为-1或者链表中的一个有效索引
class ListNode {
int val;
ListNode next;
ListNode(int x) {
val = x;
next = null;
}
}public ListNode detectCycle(ListNode head) {
if(head ==null){
return null;
}
ListNode slow = head;
ListNode fast = head;
while (true){
if(fast.next==null || fast.next.next==null){
return null;
}
fast = fast.next.next;
slow = slow.next;
if(slow == fast){
ListNode p = head;
while (p!=slow){
p = p.next;
slow = slow.next;
}
return p;
}
}
}05环形链表2
https://jiajun.xyz/2026/02/07/算法/07链表/05环形链表2/