08删除链表的倒数第n个节点
删除链表的倒数第n个节点
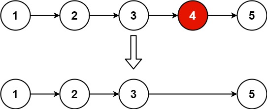
给你一个链表,删除链表的倒数第 n 个结点,并且返回链表的头结点。
示例 1:

输入:head = [1,2,3,4,5], n = 2
输出:[1,2,3,5]示例 2:
输入:head = [1], n = 1
输出:[]示例 3:
输入:head = [1,2], n = 1
输出:[1]提示:
- 链表中结点的数目为
sz 1 <= sz <= 300 <= Node.val <= 1001 <= n <= sz
public class ListNode {
int val;
ListNode next;
ListNode() {
}
ListNode(int val) {
this.val = val;
}
ListNode(int val, ListNode next) {
this.val = val;
this.next = next;
}
}public ListNode removeNthFromEnd(ListNode head, int n) {
ListNode dummy = new ListNode(0,head);
ListNode first = head;
ListNode second = dummy;
for (int i = 0; i < n; i++) {
first = first.next;
}
while (first!=null){
first = first.next;
second = second.next;
}
second.next = second.next.next;
return dummy.next;
}08删除链表的倒数第n个节点
https://jiajun.xyz/2026/02/07/算法/07链表/08删除链表的倒数第n个节点/