03翻转二叉树
翻转二叉树
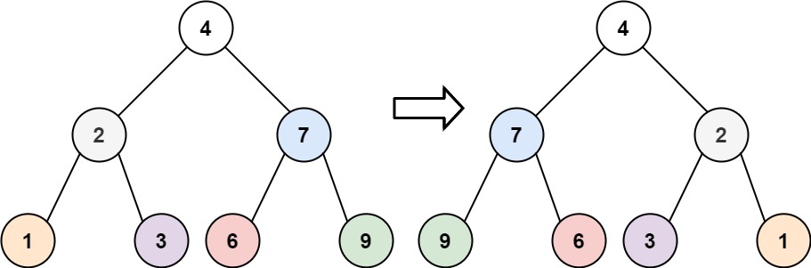
给你一棵二叉树的根节点 root ,翻转这棵二叉树,并返回其根节点。
示例 1:

输入:root = [4,2,7,1,3,6,9]
输出:[4,7,2,9,6,3,1]示例 2:

输入:root = [2,1,3]
输出:[2,3,1]示例 3:
输入:root = []
输出:[]提示:
- 树中节点数目范围在
[0, 100]内 -100 <= Node.val <= 100
public class TreeNode {
int val;
TreeNode left;
TreeNode right;
TreeNode() {}
TreeNode(int val) { this.val = val; }
TreeNode(int val, TreeNode left, TreeNode right) {
this.val = val;
this.left = left;
this.right = right;
}
}public TreeNode invertTree(TreeNode root) {
if(root==null){
return null;
}
TreeNode temp = root.left;
root.left = root.right;
root.right = temp;
invertTree(root.left);
invertTree(root.right);
return root;
}03翻转二叉树
https://jiajun.xyz/2026/02/08/算法/08二叉树/03翻转二叉树/