05二叉树直径
二叉树直径
给你一棵二叉树的根节点,返回该树的 直径 。
二叉树的 直径 是指树中任意两个节点之间最长路径的 长度 。这条路径可能经过也可能不经过根节点 root 。
两节点之间路径的 长度 由它们之间边数表示。
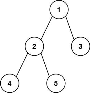
示例 1:

输入:root = [1,2,3,4,5]
输出:3
解释:3 ,取路径 [4,2,1,3] 或 [5,2,1,3] 的长度。示例 2:
输入:root = [1,2]
输出:1提示:
- 树中节点数目在范围
[1, 104]内 -100 <= Node.val <= 100
public class TreeNode {
int val;
TreeNode left;
TreeNode right;
TreeNode() {}
TreeNode(int val) { this.val = val; }
TreeNode(int val, TreeNode left, TreeNode right) {
this.val = val;
this.left = left;
this.right = right;
}
}int max = 0;
public int diameterOfBinaryTree(TreeNode root) {
depth(root);
return max;
}
private int depth(TreeNode root){
if(root == null) return 0;
int left = depth(root.left);
int right = depth(root.right);
max = Math.max(max, left + right);
return Math.max(left, right) + 1;
}05二叉树直径
https://jiajun.xyz/2026/02/08/算法/08二叉树/05二叉树直径/