06二叉树层序遍历
二叉树层序遍历
给你二叉树的根节点 root ,返回其节点值的 层序遍历 。 (即逐层地,从左到右访问所有节点)。
示例 1:

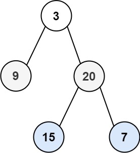
输入:root = [3,9,20,null,null,15,7]
输出:[[3],[9,20],[15,7]]示例 2:
输入:root = [1]
输出:[[1]]示例 3:
输入:root = []
输出:[]提示:
- 树中节点数目在范围
[0, 2000]内 -1000 <= Node.val <= 1000
public class TreeNode {
int val;
TreeNode left;
TreeNode right;
TreeNode() {
}
TreeNode(int val) {
this.val = val;
}
TreeNode(int val, TreeNode left, TreeNode right) {
this.val = val;
this.left = left;
this.right = right;
}
}public List<List<Integer>> levelOrder(TreeNode root) {
List<List<Integer>> res = new ArrayList<>();
if (root == null) {
return res;
}
Queue<TreeNode> queue = new LinkedList<>();
queue.offer(root);
while (!queue.isEmpty()) {
List<Integer> line = new ArrayList<>();
int size = queue.size();
for (int i = 0; i < size; i++) {
TreeNode poll = queue.poll();
line.add(poll.val);
if (poll.left != null) {
queue.offer(poll.left);
}
if (poll.right != null) {
queue.offer(poll.right);
}
}
res.add(line);
}
return res;
}06二叉树层序遍历
https://jiajun.xyz/2026/02/08/算法/08二叉树/06二叉树层序遍历/