08验证二叉搜索树
验证二叉搜索树
给你一个二叉树的根节点 root ,判断其是否是一个有效的二叉搜索树。
有效 二叉搜索树定义如下:
- 节点的左子树只包含 严格小于 当前节点的数。
- 节点的右子树只包含 严格大于 当前节点的数。
- 所有左子树和右子树自身必须也是二叉搜索树。
示例 1:

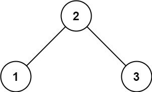
输入:root = [2,1,3]
输出:true示例 2:

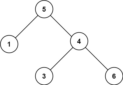
输入:root = [5,1,4,null,null,3,6]
输出:false
解释:根节点的值是 5 ,但是右子节点的值是 4 。提示:
- 树中节点数目范围在
[1, 104]内 -231 <= Node.val <= 231 - 1
public class TreeNode {
int val;
TreeNode left;
TreeNode right;
TreeNode() {}
TreeNode(int val) { this.val = val; }
TreeNode(int val, TreeNode left, TreeNode right) {
this.val = val;
this.left = left;
this.right = right;
}
}public boolean isValidBST(TreeNode root) {
return isValidBST(root, Long.MIN_VALUE, Long.MAX_VALUE);
}
public boolean isValidBST(TreeNode node, long lower, long upper) {
if (node == null) {
return true;
}
if (node.val <= lower || node.val >= upper) {
return false;
}
return isValidBST(node.left, lower, node.val) && isValidBST(node.right, node.val, upper);
}08验证二叉搜索树
https://jiajun.xyz/2026/02/08/算法/08二叉树/08验证二叉搜索树/