04对称二叉树
对称二叉树
给你一个二叉树的根节点 root , 检查它是否轴对称。
示例 1:

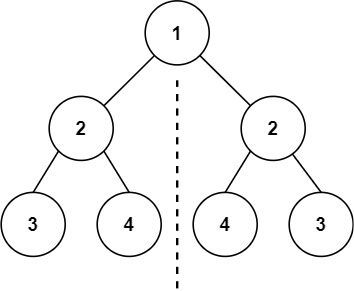
输入:root = [1,2,2,3,4,4,3]
输出:true示例 2:

输入:root = [1,2,2,null,3,null,3]
输出:false提示:
- 树中节点数目在范围
[1, 1000]内 -100 <= Node.val <= 100
public class TreeNode {
int val;
TreeNode left;
TreeNode right;
TreeNode() {
}
TreeNode(int val) {
this.val = val;
}
TreeNode(int val, TreeNode left, TreeNode right) {
this.val = val;
this.left = left;
this.right = right;
}
}public boolean isSymmetric(TreeNode root) {
return recur(root.left, root.right);
}
private boolean recur(TreeNode left, TreeNode right) {
if (left == null && right == null) {
return true;
}
if (left == null || right == null) {
return false;
}
if (left.val != right.val) {
return false;
}
return recur(left.left, right.right)
&& recur(left.right, right.left);
}04对称二叉树
https://jiajun.xyz/2026/02/08/算法/08二叉树/04对称二叉树/